这个月开始新特产正式开放了,运气好,小佛的帮得了西梁特产。经过几天的测试了解,基本清楚了西梁特产的情况与跑法,希望对有特产的帮有所帮助(西梁特产真是个好东西,可惜是随机在4-32名中选择,且是3选1还得2个月内不能再选 ,想碰到一次不容易呀)

以下是对西梁特产的商品分析,想看跑法攻略可以看红色字。
首先,是西梁特产如何走到。去西梁女国需要从朱紫国的驿站传送,而到朱紫国可以从境外到达,入口就在STL门派的家门口。进入朱紫后直接在驿站那,马上点车夫就可以进入西梁。(比刚测试时近多了,刚开始测试时要先走到驿站才能传送,出来是到皇宫那,超级远,现在好点,进出都在驿站那,近了不少。)。
其次,需要知道境外有驿站可以直接到长安,在桥过去点有个车夫可以传送。所以从西梁回长安很近。
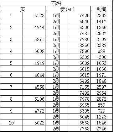
在确定跑法前首先要知道西梁特产卖货的情况。这是很关键的,因为特产就20个,特产处卖货情况就很重要了,好的消息是西梁特产收东西给的价钱还不错。长安、傲来、北惧货都可以卖到这里。因此在统计特产石料的卖处时我统计了3处的卖价情况。
从表中可以看到特产卖长安是非常好的,无论是否刷2次卖价,特产卖长安利润几乎全在2500以上(20次中只有3次低于2500,最低也是1771),3000以上利润也不少。石料进价在3700-6500之间,一般4300-5800之间居多。对于60,80商,15W交票,如果你能在西梁那进满19个特产,那么回长安几乎肯定够交票(地府的卖价多数时比长安略高点,如果长安卖掉可能差点可以去地府卖)。
傲来货卖去西梁利润也不错,所以石料特产卖去傲来的情况也就很重要了。从表中可以看出石料卖去傲来大多数利润在1500以上,6000以上的石料要保证在刷2次卖价前卖掉,否则有可能出现亏损。1500以上的利润也不错,在多人跑商时石料需要分的,一般只能进10个,所以如果不想回长安可以卖去傲来然后进傲来货卖西梁特产。傲来的酒、帽子、盐卖去西梁特产都很不错,比卖长寿略强,尤其是盐,从傲来到西梁一个来回也就3分钟而已。具体情况后面介绍。